忍者ブログ

Imager マニア

デジカメ / デジタルビデオカメラ / スマホ用の撮像素子(イメージセンサ/imager/CMOSセンサ)について、マニアな情報や私見を徒然なるままに述べるBlogです(^^;)

[PR]

×

[PR]上記の広告は3ヶ月以上新規記事投稿のないブログに表示されています。新しい記事を書く事で広告が消えます。

本年の民生ビデオカメラ発売機種数と現ラインナップ一覧 ~今パパママは何で子供動画を撮ってるの?

さて、今年は例年よりも早く年末気分になり始めましたimagerマニアです(^^)
ということもあり、前回のinterBee2015レポートの続きをいこうと思っていたのですが、ちょっと私の冒頭の気分の問題で(^^;)、間に本年の振り返りシリーズを挟んでみようかと思います。

 第一弾は”民生ビデオカメラ市場”というか、ビデオカメラのトレンド確認です・・・
が、結論から書きますと、ちょっと時間を掛けてまとめて損した気分になりました。
もうこの市場はアクションカム系を除くと恐らく横ばい市場で動きが多く無く(←動画の4K化という起爆剤?がありながら・・・)、トレンド確認をあまりする意味が無い市場な気配です。

次回からは、業務用のビデオカメラか360°撮影カメラ含むアクションカム一覧に視点を移していこうかと思います。


↑ メーカー別の'15年 民生ビデオカメラの発売機種数

拍手[1回]

調査(?)対象メーカーは上図の通り
ソニー / パナソニック / JVC / キヤノン / GoPro (Woodman Labs)
の計5社としました。

※販売機種数は、上記各社の(リンク先の)それぞれの日本向けHPに掲載されている機種をカウントしています
※正確には”GoPro”は会社名では無く商品名(ブランド名?)です。社名は”Woodman Labs”です
 今回は、GoProの方が通りが良いと思いそちらで表記しています

 ちなみに、ビデオカメラのこの手のまとめを行うのは昨年の8月以来、およそ1年半振りです。
なるべく重複した内容は書かないようにしますので、トレンド確認という意味では前回内容と比較するとおもしろいかと思いますのでご興味ある方は昨年のエントリもご覧ください。


 さて、まずはこの市場の各社のシェアです。
すぐに見つけ出せたものとして、国内の結果になっていますが、2015年のBCNのランキングから。
1位:SONY(43%)、2位:Panasonc(30%)、3位:JVC(16%)

昨年の調査時点(=2013年結果)と比較すると、上位2社の国内シェアがそれぞれ5%程度ほど上昇し、3位以下のシェアが減る という更なる寡占化(=上位3社で9割、上位2社で7割シェア)が進んでいる市場であることがわかります。

 また、ビデオカメラの市場規模ですが、参考としてソニーの決算資料↓から抜粋すると、こちらはワールドワイドの値ですが、5200億円市場@'14年ということの様です。

2014年度ワールドワイドの動画カメラの市場規模
※図にも記載されていますが、この数字は業務用カメラも含んだ数字

ざっくりとで良ければ、”民生ビデオで5000億程度”と覚えておけば良いのではないでしょうか。
ちなみに、上の図から、ソニーは世界市場シェアでも(国内ほどでは無いにせよ?←台数と金額シェアの違いもありますが)3割前後のシェアを持っており業界topということですね。

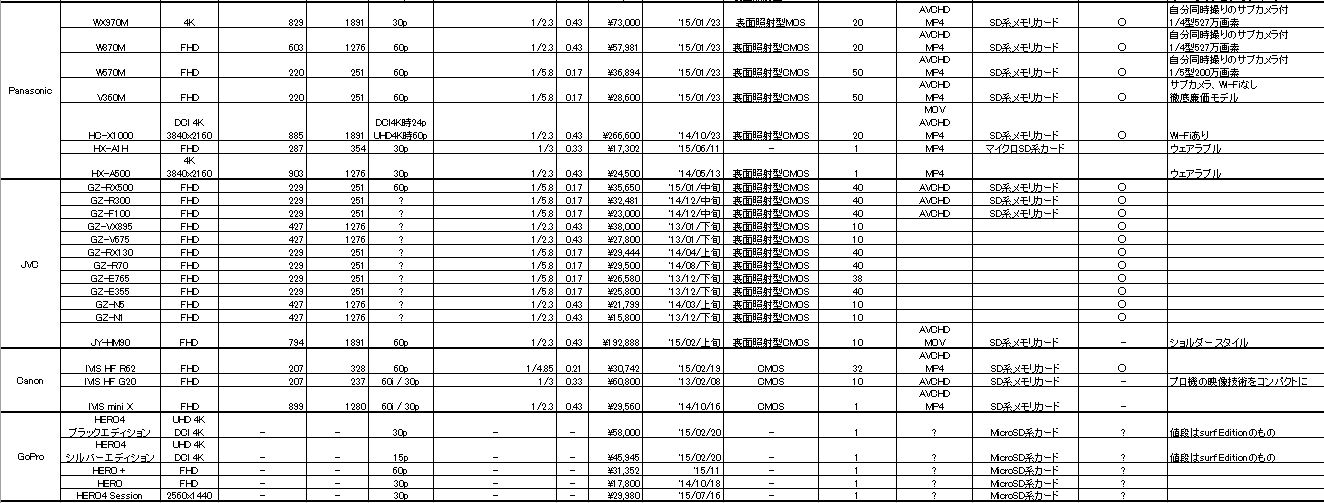
 では次に、色々私見を記載する前に、その元となった集計結果一覧を以下に載せます。


※リストの空白欄は”調べていない”ことを意味します
※リストの”?”欄は、”調べたが、少なくとも公式HPには情報が載っていなかった”を意味します
※”価格.comの最安値”は、'15/12/12時点のものです
※”光学ズーム倍率”欄の”1倍”は、”単焦点”を意味しています
※”光学ズーム倍率”欄の”-”は、”レンズ交換式カメラ”を意味しています


 で、冒頭の'15年、今年の民生ビデオカメラの発売機種数の話に戻るのですが、
5社で計16機種
平均で3機種ずつ程度・・・
 これを多いと見るか少ないと見るかですが、当たり前ですが、(右肩下がりな)コンパクトデジカメと比較しても少ないのは明らか。
そして、
 16機種中約半数の7機種がアクションカムかウェアラブルカメラ
 16機種中6機種が4K動画可能機種 (←アクションカムと重複あり)
 (ちなみに4Kでもアクションカムでも無いビデオ機種数は”5”)

もし、4Kとアクションカムという二つのトレンドがこのビデオ業界になかったら、もっと酷いことになっていた感じです。
 ちなみに、今年、業界首位のソニーは民生向けには”アクションカムか4K機しか”投入していません
逆に下位のJVCとCANONはFHD機のみしか市場投入していません
これは何を意味するのか?
各社の純粋な戦略の違いなのか、純粋な技術力の差なのか、謎です。

(上の表にある様に)当然4K機は相対的にお高い訳ですが、驚くのはソニーが数が稼げる廉価機種をアクションカム以外新規投入せずに今年の世界シェアNo.1を取っているところ。”ハンディカムはソニー”のブランドイメージは強しというところなのでしょうか?

 来年初めのCESで、ソニーがアクションカム以外のカムコーダーをどうしてくるか個人的に注目です。
もし、FHD(=1080p)機を発表しなかったら、もうソニーは”この市場の廉価機の役割はスマホとコンデジ動画にお任せしてしまおう”という腹積もりなのでは?≒シェアを追わずにビデオの廉価機市場には見切りをつけるつもりなのでは? と個人的には勘ぐってしまします。

 で、アクションカムに特化しているGoProの様な会社を除けば、この市場に未だ最も力を入れていたのがパナソニックということに疑いの余地は無さそうで、発売機種数も5機種でtop。そのラインナップも上位機種から下位機種まで綺麗に揃えています。
(そして、Imagerマニアという本blogの趣旨からは外れていきますが、パナソニックは今年”ワイプ撮り”と称する撮影者のお父さん?も一緒に記録に残そうという様な新機軸を打ち出しています。←これが市場で受けているのかどうか私個人は知りたいところです)


↑ 現在のメーカー別の(現役)販売機種数比較 ※'15年発売以外の機種も合わせて

※”現役”のここでの定義:以下の条件を満たす機種をカウントしています
 冒頭各メーカーの国内向けHPに'15/12/12現在掲載されており、
  かつ
 価格.comで販売店舗が存在している

 現役でラインナップしている民生ビデオカメラ機種数という観点で見ると、本年の発売機種数とは上位が入れ替わります。
上図の通り、ソニーがパナソニックの倍以上の数で1位で、JVCが2位となり、パナソニックが3位へと後退します。

ですが、この機種数は正直そのまま受け取ることが出来なくて、
例えばソニーの場合、全16機種中6機種が”ソニーストアでの販売は終了”と公式HPで表記されています(←ただし、”生産完了品”のページには移されていない)。
またJVCの方は、'13~'14年の間に発売された、スペック表からは違いがよくわからない¥2万~¥3万前半のお値段の似たような機種が複数並んでいます。
更にキヤノンの場合は、全ラインナップが潔く3機種しか無く非常にわかりやすいのですが、その3機種全てが現在公式HP上で”在庫僅少”表示となっています(^^;)
 年明けのCESでの新製品発表前ということでモデルチェンジ時期だからというが大きいと思うのですが、つまり上記3社のラインナップ中少なくない機種が事実上在庫整理中の機種であると思われます(≒事実上現在競争力が無く、現役機種にラインナップするには微妙な機種が多い)。

 しかし、それでも1年半前の現役機種数トータル”51”に比べれば、主にJVCがラインナップ整理(≒在庫整理?)を進めたことが理由で、今現在は”43”ということで、確実に機種数は減ってきています。
 もうキヤノンに至っては(ソニー以上に?)民生ビデオ市場には見切りをつけつつあるのかもしれませんねー。なまじデジカメが強いですし、大企業なので。
ワールドワイドで¥5200億の市場で、仮に現在シェア5%だとして同社のビデオの年間売り上げ¥260億・・・従業員数万人規模の会社でこの数字だと、挽回できる当てが無いとガッツりとは人は割けないかもしれません。
(これがJVCになると¥5200億×16%≒¥832億。同社の全社の売り上げ高が¥2850億程度なので、全社の売上げの約3割を稼ぐ稼ぎ頭のひとつということで、全く事情が違ってくるのだと思うのですが・・・)

 あと、定量的な(?)データに移る前に、ラインナップをリストしていて気になったことを二つ。

・JVCのアクションカムが消えている

 正確には公式HP上には”その他”の欄に残っているものの、価格.comでの取扱店は”0”になってしまっている
これも単なる代替わり機の在庫一掃によるものか?それともアクションカム市場でJVCは負け組になってしまって撤退か?
↑恐らくこの答えも年明けのCESでの発表の有無で判断可能なのでは?

 ・ソニーが押していたプロジェクタ機能付きのビデオも少なくとも公式のソニーストアには無くなってしまっている
 ↑この機能が流行って定着するか(≒ビデオカメラ独自機能として定着するか?)興味を持っていたので気になっています。これもCESで後継機種が出てくるか否かである程度読めるのでは?


↑最大動画記録サイズで分類した機種数比率 (現役ラインナップ43機種が分母)
 ※FHD:1920×1080
  4K   :3840×2160
(ただし4Kにジャンル分けしたGoProHERO4 SilverEditionの4Kフレームレートは15p止まり)
 
 撮像素子に直結するスペックの内のひとつである、いわゆる動画モードの場合の解像度。
結果はご覧の通りで、さすがにまだFHDが圧倒的比率(75%)・・・ですが、1年半前と比較すると、4K撮影可能な機種の割合が凡そ10%程度増加していることがわかります。
4K化の波は徐々にではありますが、民生ビデオ機器でも進んでいると(個人的には思っていたよりも遅いスピードではありますが・・・)
 また、形ばかり残っていたFHD解像度未満の機種が市場から消え去りました。

ちなみに、フレームレートですが、FHDモード時には、ほぼ全ての機種が60pまでは撮れます。
 では4Kの時は?
というと、4K撮影記録可能な10機種の内、60pまで撮影可能な機種はソニーの¥30万超えの1機種のみです。
民生用ビデオの世界では、まだ事実上4Kは30pまでということですね。まあ撮れても4K60pはまだ普通のpcマシンでは取り回しが出来ないと思いますのである意味妥当なスペックではあると思います。

 
↑動画時の有効画素数で分類した機種数比率
※有効画素数が明示されていないGoProの5機種を除く38機種に対して

この分類に何の意味があるのか?
という話なのですが、個人的な興味です(^^;)有効画素数の分類の仕切りもちょっと恣意的なものがあります、ご了承ください。
 意図したのは”最終記録がFHD≒200万画素の映像を生成するのに、何万画素を使って200万画素を生成しているのだろう?”ということです。
 結果からすると、約半数の機種がエンジンによる圧縮を行わず、必要な200万画素の動画を200万画素の素子データから作っており、残りの約半数は凡そ600万画素や多いものだと1000万画素以上からエンジンで圧縮補完(?)して画質向上を狙っている ということが概略言えるかと思います(ちょっと集計に不備があって、4K≒800万画素機も一緒にしてしまっているのがいまひとつなのですが・・・)



↑搭載CMOSイメージセンサのFSI (表面照射型) vs BSI (裏面照射型)割合
 ※表面型/裏面型の別の記載がはっきりしないCanon、及び未記載のGoPro、及びパナソニックの1機種を除く34機種において

 まず、前提がCMOSセンサになっていますが、現役民生ビデオランナップでCCD素子搭載機は1機種も存在しませんでした。
もうFHDでの60p読み出しがmustな仕様の昨今では、CCDの出る幕は無さそうですね。

 で、裏面か表面センサか?の内訳ですが、ご覧の通りで、もう裏面照射型が圧倒です。
1.5年前と比較しても、更に10%比率が上がっています。
もっとわかりやすく言うと、表面照射型センサが採用されているビデオカメラは、
ソニーのAPS-Cと35mmフルサイズの大きい撮像素子(≒裏面照射化が最近可能になったサイズの素子搭載機)とパナソニックの恐らく自社製素子搭載の1機種の計3機種のみです。
他は現在全て裏面照射型CMOSセンサ搭載機となっています。

もう今後この統計も、パナソニックが自社素子で巻き返さない限り、裏面照射型CMOSセンサ一択の状況なままでしょうね。



↑搭載撮像素子サイズごとの機種数分類
※サイズ不明のGoPro製品を除く38機種において

1.5年前と比較して、更に1/2.3型撮像素子搭載割合が増加し、全体の44%
これはコンパクトデジカメの主流がやはり1/2.3インチ素子で、メーカーとして”コンパクトデジカメと同じ素子を素子メーカーから調達すればコストダウンになる”という様な背景もあったりするのでしょうか。
次が1/5.8インチの37%。
これはコンパクトデジカメには無い小さなサイズの素子で、一重にビデオカメラの方が光学のズーム倍率が大きい機種が多いことに起因しているのでしょう。

 極端に言うと、上記二つのサイズがほとんど。二つのサイズで全体の8割強。
そして、ズーム倍率と絡めて言うと、以下の様な撮像素子サイズと光学ズーム倍率の強い関係が見られます。
 1/2.3インチ素子搭載カメラ:光学ズーム倍率10~20倍
 1/5.8インチ素子搭載カメラ:光学ズーム倍率40~50倍

個人的に意外であったのは、”ビデオカメラの世界でも1インチ素子搭載カメラが年々増えていくだろうな~”と思っていたのですが、そこはそんなことは無く、1年半前とさほど変わらないかむしろ減少気味の8%。
この市場は、むやみに大きなサイズの素子を搭載しても人気が出たりはしないということなのでしょうか。



↑価格別分類 ※’15/12/12時点の価格.comの最安値に基づき

 最後に最も大事な(?)販売価格。
これは1.5年前と変わらず、¥2~4万の価格帯が最多。
しかしその割合は少々減少し46%に。
加えて\10万以上の高級機の割合も減少し、代わって\4~10万の機種の割合が増加。

 価格帯ごとの特徴を残しておくと、
¥2万以下の機種は、アクションカム、ウェアラブル等の更に最廉価モデルのみ
¥6~10万の領域が、各社の事実上のフラグシップ機が鎮座する価格帯
¥10万以上の機種は、以下いずれか最低ひとつの条件を満たす機種のみしか存在しません
 1インチ以上の大判撮像素子搭載機 / 4K機 / レンズ交換式

 1年半前は¥10万以上の価格帯にわずかに存在していた、3板式、3D機は現在は完全に存在しなくなっています。
双方とも直接、間接に4K機が主流になってきたことに関連があるように思います。
というのも、3板式も3D機もフラグシップ機の象徴だと思うのですが、それよりも現在は4K化する方が受けが良さそう(≒お金が取れる)ですし、
もし更に4K機で3板式や3D機にしてしまうと、(筐体スペースの問題以外に)複数の4K撮像素子からのデータ処理の負荷、消費電力、発熱等が現在の技術ではまだ難しそうに思うからです。
今後も8K化まで(普及するかはわかりませんが、カメラ本体は)突っ走っていきそうな感じがしますので、そういう意味だと同じ理屈で、少なくとも民生機においてはしばらく3板式の復活は無さそうな気がします。


 いずれにしても、もうこの分野はまとめることは無いかもしれませんが、来年初のCESにおいて各社がどんなビデオカメラを発表するのかしないのかによって、ある程度どういう方向に向かうのか読みやすくなるので、注目しておこうと思います。


PR

コメント

お名前
タイトル
文字色
メールアドレス
URL
コメント
パスワード Vodafone絵文字 i-mode絵文字 Ezweb絵文字

3板 / 画面サイズ

3Dはともかく(苦笑)、パナソニックのハイエンド機は長らく3板にこだわっていましたけど、調べてみると3板だったHC-X920Mの直接の後継機と思われるHC-WX970Mはついに単板になってしまったので、4Kで3板というのは民生機では難しいんでしょうね。

大型イメージセンサを採用!というアピールに反応する層は、すでにカムコーダを買っていない(レンズ交換式カメラで撮っている)のではないかと思いました。
一方でパパママカメラとしては、フォーカスがシビアな大型素子は扱いづらそうですし……

Re:3板 / 画面サイズ

>FTさん

>大型イメージセンサを採用!というアピールに反応する層は、すでにカムコーダを買っていない(レンズ交換式カメラで撮っている)のではないかと思いました。

 なるほど、そういうことですね。
しかし、カムコーダーを作ってる側の人は「大型イメージセンサを扱いたい人はもうレンズ交換式カメラいっちゃったからね、今更作っても・・・」などと、他人事の様に、または不貞腐れて、座して死を待ってていいんでしょうか? ←ちょっと過激な言葉を選びすぎですかね?(^^;)


>一方でパパママカメラとしては、フォーカスがシビアな大型素子は扱いづらそうですし……
 ↑そうですよね。しかも基本的に大きく重くはこの層には最も嫌われそうな感じですし。
だとて、さすがに運動会でGoProというのも何かマヌケな感じですし(^^;)
やっぱここはコンデジ動画か汎用カムコーダーかどちらかでしょうか

  • imagerマニア
  • 2015/12/14(Mon.)

Re: 画面サイズ

> しかし、カムコーダーを作ってる側の人は「大型イメージセンサを扱いたい人はもうレンズ交換式カメラいっちゃったからね、今更作っても・・・」などと、他人事の様に、または不貞腐れて、座して死を待ってていいんでしょうか?

カムコーダの主要なメーカーであるソニーやパナソニックは(スチルの)カメラメーカでもあるわけで、会社としてはカムコーダの代わりに自社のミラーレス機を買ってくれればOK?!

> だとて、さすがに運動会でGoProというのも何かマヌケな感じですし(^^;)

GoProは我が子にズームインできないのでダメだと思います(笑
……という観点でいうと、大型素子のモデルはズーム倍率も低いので、やはりパパママには受けがよくなさそうですね。

Re:Re: 画面サイズ

>GoProは我が子にズームインできないのでダメだと思います(笑
>……という観点でいうと、大型素子のモデルはズーム倍率も低いので、やはりパパママには受けがよくなさそうですね。

 TKさんの指摘もあり、改めて考えるとFTさんおっしゃる様に、少なくともパパママには大型素子モデルは受けが悪いと。
すると出してもマニアにしか受けませんね(^^;)
 カムコーダーを今企画される方は大変そうだ(^^;)

 返信(?)恐らくなりましたが、本年もコメントありがとうございました。
また来年もお付き合いよろしくお願いします。
良いお年をお迎えください。

  • imagerマニア
  • 2015/12/31(Thu.)

ボディの大きさが難関?

詳細にわたる分析で、大変興味深く拝読いたしました。やはりビデオカメラの新機種は減少傾向なんですね。

大型センサーの民生用カムコーダーという商品形態が広まるかどうかは個人的にも関心のあるところですが、おそらく厳しいのではないかと推測しています。いろいろ理由はありますが、いちばんの難関はボディの大幅な大型化ではないでしょうか。

民生用カムコーダーは、長年の商品展開を通して、レンズの全長が変わらないインナーズームでレンズをボディに内包し、なおかつ、最低でも光学10倍以上のズームレンズ搭載という不文律ができているように思われます。

それを守ったままイメージセンサーを大きくすると、ボディもかなり大型化してしまいます。現状、ソニーの1型のAX100・CX900と、ソニーや他社も含めた1/2.3型以下の機種では、大きさが違いすぎて、店頭で実際に触って比べてみると、一般のお客さんから見て同じ土俵に乗れているかどうかは微妙なところだと思います。

今後の機種で小型化が見込めるか、というと、AX100はボディの内部の大半がレンズとのことで、1型センサー・光学12倍・F2.8-4.5・インナーズームというスペックで作った場合、あれより顕著に小さくすることは難しそうです。

センサーを大きくしてボディサイズを抑えるには、ズームの倍率を抑えるか、インナーズームではなく沈胴式にして収納時だけでもサイズを小さくするか、レンズの開放F値を抑えて控えめの性能にするといった選択肢があると思いますが、前の2つは民生用カムコーダーのスペック面・外観面での長年にわたる不文律を破ることになりますし(2番目などは外観的にコンデジになりそうですし)、最後の1つも、暗いレンズの搭載ではせっかくのセンサーの大型化というメリットを打ち消しかねません。

そのため、民生用カムコーダーは小型センサーのまま記録画素数の高画素化をはかっていくという方向性が当面の主流になるのではないかと思います。とはいえ個人的には選択肢として大型センサー機種も残り続けてほしいので、この1月にAX100の後継が出るかどうかが気になっています。

Re:ボディの大きさが難関?

 >TKさん

お久しぶりです。TKさんはビデオに特に興味をお持ちなんですね(^^)

>やはりビデオカメラの新機種は減少傾向なんですね。

申し訳ありません。ちょっと誤解を与える書き方をしてしまいました。
今、昨年'14年の発売機種数を数えたのですが、16機種で、今年とさほど差はありませんでした。
メーカー毎の内訳は差があり、'14年に対して今年は、”ソニーが減少、その分を今年はGoProが台数を補っている”ということの様です。

 本文中で記載した”減少”という記載の意図したところは二つあって、以下を言いたかったものです。
1) コンパクトデジカメより発売機種数が少ない ←これは厳しい比較相手(^^;)
2) ”現役の”ラインナップ機種数が減少している ←これは多くはJVCがラインナップを減らしたせい

 ただ、事実は上記の様なのですが、”この業界が年々元気がなくなってきている”というのも恐らく正しいことなのじゃ?と感じております。
盟主ソニーが1週後のCESでどんな機種を発売するのかしないのか?
もう噂ではアクションカムが出ることは間違い無さそうですが、従来のカムコーダーをどうするのかな?と。
 もしソニーが及び腰になるようだと、残りのメーカーで頑張っても、特に廉価な従来のカムコーダー市場は持たせられなくて壊滅状態になるのじゃ?という気がしています。

>大型センサーの民生用カムコーダーという商品形態が広まるかどうかは個人的にも関心のあるところですが、おそらく厳しいのではないかと推測しています。いろいろ理由はありますが、いちばんの難関はボディの大幅な大型化ではないでしょうか。

 なるほど。そういう”不文律”があるのですね。
撮像素子周りばかりに目がいって、そこまで分析できていませんでした。
言われてみれば確かにその通りだと思わせられる傾向がありますね。

>現状、ソニーの1型のAX100・CX900と、ソニーや他社も含めた1/2.3型以下の機種では、大きさが違いすぎて、店頭で実際に触って比べてみると、一般のお客さんから見て同じ土俵に乗れているかどうかは微妙なところだと思います。

 こちらも言われてみればその通りで、確かに普通に店頭に来て見比べた時に
”こいつは大きいくせに、ズーム倍率が小さい。そして値段が高い。いったい何がいいんだ?”
ってなりますよね(^^;)
ご指摘の通り、筐体を小さくするためにレンズのF値を落として(暗くして)しまうのでは本末転倒ですしね。
 やはり、勇んで各メーカー1インチ素子搭載カムコーダーを作らないというのにはちゃんと理由があったんですね。確かに作っても売れないような気がしてきました(^^;)

 しかし、そう考えると、今度は逆に”コンパクトデジカメで1インチ素子搭載カメラが受けるのは何故だ?”というのが分析してみたくなる命題ですね(^^;)

①スチルカメラの購買層の方が撮像素子の大きさからくる画質面での恩恵に理解がある(≒見識が高い?)
②カムコーダーの不文律の内、特に”最低10倍以上の光学ズーム”というものがデジカメには無いため、1インチ素子を搭載してもカムコーダーほどには大きくならないため、購買者受けがそこまで悪化しない
 上記くらいしか思いつきません。


>今後の機種で小型化が見込めるか、というと、AX100はボディの内部の大半がレンズとのことで、1型センサー・光学12倍・F2.8-4.5・インナーズームというスペックで作った場合、あれより顕著に小さくすることは難しそうです。

 ↑昨年のCP+だったかで、AX100だったと思うのですが、ソニーブースでカットモデルを観ました。言われて思い出すと全くおっしゃるとおりの内部構造をしてました(^^;)

>とはいえ個人的には選択肢として大型センサー機種も残り続けてほしいので、この1月にAX100の後継が出るかどうかが気になっています。

 出るといいですね(^-^)
少なくともハイエンド市場は当面大丈夫なんじゃないかと個人的には思います。
ではCESを楽しみにして、
良いお年をお迎えください!

  • imagerマニア
  • 2015/12/31(Thu.)

ご返信ありがとうございます

あけましておめでとうございます。ふだんはほとんどROMですが、今年も記事を楽しみにしております。

ご丁寧な返信ありがとうございます。

> メーカー毎の内訳は差があり、'14年に対して今年は、”ソニーが減少、その分を今年はGoProが台数を補っている”ということの様です。

私も言葉が足らずすみません。
最初のコメントで書いた減少というのは、アクションカム以外の国内勢の従来型カムコーダーを念頭においていました。
アクションカムについては今後も元気だと思います。

> しかし、そう考えると、今度は逆に”コンパクトデジカメで1インチ素子搭載カメラが受けるのは何故だ?”というのが分析してみたくなる命題ですね(^^;)

これについては、ご指摘の理由(1)・(2)の両方考えられると思いますが、(1)は市場規模の違いが影響していそうですね。

別記事でデジカメのほうは数字を引いておられますので改めて書くのも恐縮ですが、2014年の国内向け出荷台数で比較すると、民生用カムコーダーは約114万台(JEITA)、デジカメはレンズ一体型と交換式合わせて約578万台、交換式だけで約180万台
だとか(CIPA)。
http://www.jeita.or.jp/japanese/stat/shipment/2014/
http://www.cipa.jp/stats/documents/common/cr300.pdf

いずれもここ数年減少傾向にあるとはいえ、デジカメのほうがはるかに需要の母体が大きいので、「少々本体が大きくなってもセンサーが大型であることのメリットを選ぶ」という購買層が、そういう製品のリリースを活発化させる程度に多数存在しているのではないでしょうか。(統計の数字を読み違えてましたらすみません。)

(2)についても、ご指摘のとおりデジカメのほうがスペックや外観の自由度が大きいので、多様な需要に答えやすそうですね。

デジカメinfoさんに近々発表されるパナソニックの1型センサー機の画像が出ていましたが、沈胴式でレンズの明るさを欲張らなければ(F2.8-5.9)、10倍ズームでもこれくらいの大きさにできるようです。
http://digicame-info.com/2015/12/1dmc-tz100.html

デジカメの側でこういった多種多様な機種が出続けるのを見ていると、従来型の民生用カムコーダーはますます厳しいような気がします。
裾野の広さがあってこそのハイエンド市場だと思いますし、市場の縮小傾向が改めて気になるところです(^_^;)

Re:ご返信ありがとうございます

>TKさん

遅くなりましたが、新年おめでとうございます。

>アクションカムについては今後も元気だと思います。
 ↑意外なことに、GoProが年明けに数百人規模のLayOffを実施するという発表がされていましたね。
一眼カメラと同様、アクションカムも需要があるところには一巡したということの様です(日本はまだという気はしますが・・・)


>裾野の広さがあってこそのハイエンド市場だと思いますし、市場の縮小傾向が改めて気になるところです(^_^;)

 今回、パナだけでなく、ソニーもCESで4Kのハイエンドだけでなく、二年振りにFHD機も新機種を発表していましたね(≒裾の製品も発表しましたね)。
やはり、自分で作った市場を、そのまま自分たちが諦めて放棄してしまうようなことはするつもりは無いようですね(^^)

  • imagerマニア
  • 2016/01/18(Mon.)

ブログ内検索

カウンター

最新コメント

[03/28 hoge]
[03/26 hi-low]
[03/22 山川]
[03/18 hoge]
[03/08 hi-low]
[03/04 hoge]
[02/26 山川]
[02/26 山川]
[02/19 hoge]
[02/18 山川]
[02/05 hoge]
[02/05 hi-low]
[01/29 通りすがりです]
[01/28 FT]
[01/23 hi-low]

カレンダー

12 2026/01 02
S M T W T F S
1 2 3
4 5 6 7 8 9 10
11 12 13 14 15 16 17
18 19 20 21 22 23 24
25 26 27 28 29 30 31

バーコード

プロフィール

HN:
imagerマニア
性別:
非公開