忍者ブログ

Imager マニア

デジカメ / デジタルビデオカメラ / スマホ用の撮像素子(イメージセンサ/imager/CMOSセンサ)について、マニアな情報や私見を徒然なるままに述べるBlogです(^^;)

[PR]

×

[PR]上記の広告は3ヶ月以上新規記事投稿のないブログに表示されています。新しい記事を書く事で広告が消えます。

産業用カメラ撮像素子 その2 ~新分野に挑戦:POINTGREY 特性編

さて、CESも終わり、成人式の日になりました。今年も荒れているのでしょうか。
はて、私は”成人式に着て行ったスーツ”というのがあったことは覚えていますので、成人式に行ったのは間違い無いのだと思うのですが、何故だか記憶にほとんど残っていません・・・

・・・とまあ、そんなことはどうでもよく(^^;)、CESではカメラやイメージセンサに関係無く、興味を惹かれるニュース(≒発表)がいくつかあったのですが、
カメラ関係で言えば、やはりニコンのD5及びD500が最もホットで、また意表を突かれるところだったのではないでしょうか。

それでもD5の方については、オリンピックイヤーであることもあり、
近々発表されることは誰しも疑いの余地無く、単に発表がCP+かCESかというせいぜい2ヶ月弱の時間的誤差に過ぎなかったと思うのですが、
D500の発表を予想されていた方はほぼ皆無だったのではないでしょうか?
 これらのイメージセンサの写真なども、例によってデジカメwatchさんには掲載されていますので、近い内に何かはblogエントリしたいと思っています。

 で、今回は、まだ前回の産業用カメラのPointGrey編が途中でしたので、そちらの続きを先にいきたいと思います。


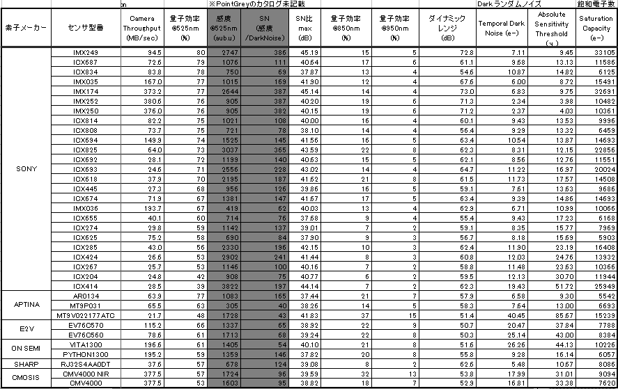
PointGreyのカタログのカメラごと(≒センサごと)の特性値一覧

拍手[3回]

※正確には、イメージセンサ単体の特性値では無く、PointGreyが設計したカメラでの特性値ですが(つまり、イメージセンサだけの特性値を反映したものでは無いですが)、そこは同じカメラメーカーが作ったものなので、ほとんどイメージセンサ単体の特性値を反映した結果と考えて良いのではないかと思っています

※灰色ハッチの欄は、PointGrey社のカタログに載っていた数字ではなくて、私が興味で付け加えてた箇所になります

※カメラの信号出力スループット(MB/sec)については、カメラで使用しているインターフェース規格による制限で決まる可能性もありますが、カタログを見る限り、インターフェース律速になっているカメラはほぼありませんでしたので、基本イメージセンサの信号出力レートを反映した結果だと思って良いと思います

※複数のカメラで使用されていたイメージセンサについては、いずれの特性値も、複数のカメラで数字の良かった方の値を、そのイメージセンサの特性値として上表には記載しています

※今回の特性値に関しては、全て”モノクロカメラ”の特性値となっています。つまり、それぞれのカメラに搭載されているイメージセンサは、カラーフィルタののっていない”モノクロセンサ”の特性値であると思われます


↑センサごとのQuantum Efficiency (%) @525nm

 正確な測定方法までは載っていなかったと思うのですが、
恐らくレーザーの様な光源で、525nm(←意味するところはGreen光源に対する)ピンポイントの波長光を入射させた際の量子効率。

横軸の並びはどうしようか迷ったのですが、センサ設計メーカー別に分けました。

”量子効率”自体は、”カメラに入射した光子がすべて電子に変換されて信号に利用できたら量子効率100%になる”という様な特性値と理解しています(つまり光をどれだけ無駄無く電気信号に変換できるセンサか?を見る指標)。
つまり、”量子効率は高いほど良いイメージセンサ”であることは間違い無い訳ですが、
 ”果たしてカメラを使う側のユーザー目線に立った場合、この特性値が重要な指標なのか?”
と考えた場合、個人的には疑問です。

 というのは、最終的にカメラを使う側として重要なのは”感度”(もしくはS/N)なのではないかと思うからです。
つまり、量子効率が悪くとも画素ピッチ(≒画素面積)が大きければ感度が高いイメージセンサになりますし(←その代わり、同じチップサイズであれば画素数が減って解像度は下がってしまうというデメリットあり)、量子効率が高くとも、画素ピッチが小さいイメージセンサにしてしまえば感度は下がってしまうからです。

 という訳で、上記個人的思想(?)により、上図の”量子効率”の値にそれぞれのイメージセンサの画素面積(=画素ピッチの2乗)を積算した値でグラフを書き換えたものが以下となります

↑各イメージセンサの感度(量子効率×画素面積)
※よって、縦軸の”感度”の値はディメンジョン無しの相対値となりますのでご注意ください

 ひとつ上の図と横軸のセンサの並び順は変更していません。
随分と見た目が変わることがわかると思います。
最初の図を見ただけでは、ソニーの最後のICX414というセンサなど”なんでこんな特性の悪いセンサをわざわざ使ってカメラ作ってるんだ?”と疑問に思ってしまいますが、
この擬似的に出した感度の特性値を見ると、逆に感度は最も高いセンサであると予想され、
恐らくPointGrey社が、”感度を何より優先する顧客向けにこのカメララインナップを残しているのだろう”という推測が出来るのかなと思います。

 その他感度に関する補足図ですが、

↑感度の画素面積依存性

 使っているデータは、一つ上の図と全く一緒です。
(横軸の値を用いて縦軸の値を算出しているため、ある程度相関があって当たり前で、半分自作自演っぽくて嫌なのですが^^;)
ごく当たり前のことですが、”1画素の感度”≒”いわゆる一般的に感度と呼ばれる指標は画素面積に強い依存性がある”ことが見て取れます。
 ですので、個人的に何を言いたかったかと言いますと、”量子効率の値では無く、こちらの感度の値、ないしは後で出てくるSNの値を見てカメラを選ぶ方は選んだ方が良いのでは?”ということです(^^;)

(ただ、イメージセンサを作っている側=設計している側の人間にとってはある意味”量子効率の方が感度より重要な指標である”という主張であれば、それは理解できます。
確かに”感度を稼ぎたいなら画素面積大きくすりゃいい”というのは誰にでも出来ることであって、設計する側の人やメーカーの腕の見せ所では全く無いので。
PointGrey社はどっちかというとセンサ製造側の立場に立っているんですかね?^^;)



↑センサごとのTemporal Dark Noise (e-)

 originalのカタログには、Temporal Dark Noise / Read Noise となっていて、
まあダーク時のランダムノイズと思って良いのではと思います。
ですので、この図は”小さい値を示す方が良いイメージセンサ”となります。

 感度と並んでイメージセンサの最も重要な特性値の一つと思う訳ですが、
さきほどの量子効率の図でも感じましたが、なんとなく全般的に見ると、やはりソニーのイメージセンサ(左側の約7割の領域)の方が良い感じだなと。
中でもIMX252と250は他のセンサに対してかなり小さい値を示していますね。
 少なくとも、e2VとCMOSIS製のセンサは2品種ともこの中ではノイズ多めに見えます(^^;)

 で、ここでもAptinaのMT9V~という長ったらしい名前のセンサの値が突出して悪く、
”んだよ、こんなセンサ積んだカメラ誰が買うんだよ?”
と思ってしまった訳ですが(^^;)、どうもこれにも理由があるようで、いちいち図に起こしませんが、
このセンサは冒頭の表の850nmと950nmの入射波長に対する量子効率・・・つまり赤外感度に直結する特性値が他のセンサよりも突出して高く、
恐らくPointGrey社は”赤外光も捉えたい要望のある顧客向けに”このカメララインナップを残しているのでは?と推測出来ます。
ちなみにこれはセンサ名称からも明らかですが、やはりこの中ではややノイズの多いCMOSIS社の”CMV4000NIR”センサ搭載カメラも、同様の狙いでのラインナップと思われます。

(CMOSIS社のもう一つのセンサは同じ名前でNIRが取れたCMV4000ですが、これは恐らく二つとも同じイメージセンサで、NIRの付かないノーマルの方はセンサ前面に赤外カットフィルタを付けたモデルということなんでしょうね、きっと)



↑センサごとのSaturation Capacity (Well Depth) (e-)

 つまり、センサのフォトダイオードに貯められる最大の電子数ですね。
ですので、この特性値に関しては、”値の大きい方が良いイメージセンサ”となります。
 この特性は、”値の大きなものはソニー製センサ”みたいな傾向があるように見えますね(←ソニー製センサでも値の小さいものも存在し、平均値を取ったらメーカー間で大きな差異は無いかもしれないが)。

 で、この特性値は、画素ピッチ(≒画素面積)とセンサの電源電圧に依存性が強いものと思うのですが、(センサの電源電圧は載っていかったと思うので、)
ここでも補足図として、飽和電子数の画素面積依存を以下に↓

↑やはりある程度の相関がありますね。

この図の相関線から大きく上に外れている(=画素面積の割に飽和が多い)イメージセンサは、originalの図でも突出していた、ソニーのIMX249とIMX174の画素ピッチ5.86umピッチのコンビ。
恐らく両センサの画素は同じものが用いられているのだろうと思いますが、飽和特性的に見れば非常に効率の良い画素と言えると思われ、このセンサの設計者は良い仕事してるなという感じでしょうか。



↑センサごとのダイナミックレンジ(dB)

恐らく、20log(S/N)の式のNに後に出てくるダーク時のノイズ、Sに飽和出力の値を単位を揃えて代入した際の値を縦軸に取っていると理解しました。

ソニーセンサの更に左側の方、IMX174、249、252、250の4つのセンサがトップ争いしてる感じですね。
これは前者二つのセンサは特に飽和が大きく、後者二つのセンサは特にノイズが小さかった結果、共にダイナミックレンジの特性でトップ争いをしている構図です。
ちなみにIMX252と250は画素ピッチ3.45umで同じです。こちらも同じ画素が用いられているセンサなんでしょうね。

で、上述した様に、ダイナミックレンジは飽和とダークノイズ双方に依存している値だと思いますので、補足としてそれぞれの関係を以下の図に残しておきます。

↑ダイナミックレンジの、それぞれ左がダークノイズ、右が飽和に対する依存性

 どっちかと言うと、ダークノイズの方により強い相関がありそうでしょうか。



↑各センサのSN比”Max

 上図はOriginalカタログにある”SN Ratio Max"という項目を図にしたものです。
が、結論から書くと、これは上の方に載せた”Saturetion Capacity(e-)”(≒飽和)とほぼ同じことを指しています。
実際に飽和電子数とこのSN比Maxの関係を図にしたものが以下です。

↑相当強い相関があることがわかります。

 これは、”SN比がいったいどういった状態の時にMaxになるのか?”と考えた時に謎が解けます。
答えはどの様なセンサでも”飽和、もしくは飽和に近い時”です。

というのは、まずイメージセンサは、回路などが出すベースノイズ、フロアノイズをある一定量必ず持っています。ですので、基本SN比的にはSignal量の少ない状態(≒光入射量が小さい時)でSN比がmax値を出すことはどんなセンサでも普通あり得ません。
(≒ある一定以上の光量が入射した時にSN比がmaxになる可能性が出てきます)

他方、詳細な説明はここでは省きますが、SNのN=ノイズの方は、ある一定の光量以上の領域においては、”光ショットノイズ”というノイズが、イメージセンサのノイズの中で支配的になります。
で、フォトダイオードにたまった信号電子数を仮にNとすると、平均して√N(←ルートN)電子が光ショットノイズ成分として揺らぐという性質(?物理法則?)を持っています。
そのためSN比で考えた場合、信号電子数Nに対してショットノイズ√Nですので、
 SN比 = N/√N = √N
で、結果、信号電子数Nが増えれば増えるほどSN比が向上することになります。

 以上のことより、どの様なセンサでも、フォトダイオードに蓄えられたSignal≒電子数が最も多い時≒飽和時がSN比MAXとなり、
そしてセンサ間でSN比Maxを比較すると、フォトダイオードに溜められる電子数が多いセンサ≒飽和電子数が多いセンサの方が、より”SN比maxが大きい”というところから、
上図の様な飽和とSN比Maxの強い因果関係になっていると思われます。

 ですので、飽和とこの”SN比Max”は指標として重複していますので、どちらかを見ていれば良いということですね。


 最後に、各カメラの信号データのスループット(MB/Sec)↓です。


ソニーのいくつかのセンサに並んで、ここではCMOSIS製センサがトップタイという感じですね。
確かに私のイメージでもCMOSIS社センサは基本信号読み出し速度速いな~という先入観はありました。
 ちなみに”フレームレート”という指標もあると思うのですが、私の興味としては、”センサの特性の優劣を見たい”と思い、
画素数やAD分解能の違いを吸収してある程度平等にセンサの信号読み出しスピードを比較できるこのスループット(MB/Sec)の方を選びました。


 さて、今回は以上なのですが、”結局どのセンサがいいのよ?”
というか、個人的に勝手にセンサに順位をつけたくなるというか、
別の言い方をすると、仮に私がこういったカメラを選ばなければならない立場に会社でなったらどれを選ぶのか?
 と楽しく考えた(^^;)場合に、(もちろん個別の事情により選択は変わる訳ですが、ここはあえて汎用に無難に選ぶとすると)

 やはり途中で名前を挙げたソニーの4機種(IMX249、174、252、250)のいずれかで迷うのがいいかな~という気がします。
(いえ、わたくし決してソニーの回し者ではありません^^;)

 上記センサはいずれもCMOSセンサですが、グローバルシャッタセンサですので、もうこの4機種があれば、お値段以外にCCDセンサをあえて選ぶ理由が今無いように思います。
(実際ソニー自体も結構先ですが、CCDセンサを製造中止することを公表している時代ですし)

 で、後は上記4つのセンサを積んだカメラの中から230万画素1/1.2インチフォーマット(IMX174、249)か、300~500万画素1/1.8インチフォーマット(IMX250、252)かを、用途によって選び、
その後、2機種の内から、フレームレート、お値段、カメラの出力インターフェース(USB 3.0かGigEか)で絞り込むという。

 最後は勝手なことを書きましたが、新年、産業用カメラという私にとっての新ジャンルへの足がかりを作れたので、このエントリをしてよかったかなと思いました(^^)




PR

コメント

お名前
タイトル
文字色
メールアドレス
URL
コメント
パスワード Vodafone絵文字 i-mode絵文字 Ezweb絵文字

古いセンサーが残っている理由

Point Grayが公開しているWhite Paper "How to Evaluate Camera Sensitivity"は、ICX414とIMX249を比較しながら、カメラの感度を分かりやすく解説しています。比較の結論としてはICX414に性能的な優位性は全くありませんが、それでもICX414を積んだカメラは既存システムの交換部品として必要です。

最大ダイナミックレンジは飽和電荷をダークノイズ(あるいは読み出しノイズ)で割った値の対数ですし、絶対感度はノイズと同じ電荷を発生する光子数なので、ご指摘のように共にダークノイズを下げることが出来れば向上します。そのもっとも簡単な方法は、センサーを冷却することです。10℃下がるとダークノイズは半分以下になりますので、-80℃まで冷却すれば20℃の少なくとも1/2^10になります。逆に、ダイナミックレンジと感度は数十倍向上します。

撮影時にセンサーを駆動し続け暖めているミラーレスは、センサーの性能をわざわざ劣化させていることになりますね。

Re:古いセンサーが残っている理由

>hi-lowさん

>Point Grayが公開しているWhite Paper "How to Evaluate Camera Sensitivity"は、ICX414とIMX249を比較しながら、カメラの感度を分かりやすく解説しています。比較の結論としてはICX414に性能的な優位性は全くありませんが、

POINTGREY社自体が、自社発売カメラの優劣をそこまで明確につけちゃってるんですね。
情報ありがとうございます。
ICX414くらい感度が高そうであれば、多少暗時ノイズが多くても割と明るいところでのみ撮影するのであればよもやIMX249相手でも優位性はあるかと思っていましたが、それも無いのですか・・・

>それでもICX414を積んだカメラは既存システムの交換部品として必要です。

カメラ自体が部品ですか。
確かにそれなりのシステムであれば、カメラ自体が部品になりそうですね。
そして、私の様に”カメラやセンサ自体に”興味がある者なら、カメラに寿命が来て交換が必要になったら、新しいカメラの導入を検討しちゃいそうですが(^^;)
もしそのシステムにおいて、特に以前のカメラ性能で必要な仕事のスペックを充足できる場合は、普通は新規カメラの検討をせずに、そのまま以前と同じカメラを入れちゃいそうですね、普通・・・

するとおっしゃられるように、POINTGREY社が古そうなカメラも多くラインナップに残しているのは、交換部品のためということになりそうですね。

  • imagerマニア
  • 2016/01/18(Mon.)

ダークノイズについて

hi-lowさん、
ダークノイズに関するコメントについて質問させてください。
ダークノイズ(読出しノイズ)はアンプやADC等で発生するので、センサー部を冷却しても殆ど変らない、と理解していましたがいかがでしょうか?
マイナス数度毎に半分になるノイズとは、ダークノイズではなく、ダークカレント(暗電流)かと思われます。(呼び名が紛らわしい・・・。)
ちなみに、
1 fps以上のフレームレートで取り込む場合、通常は暗電流よりも読出しノイズの影響の方が圧倒的に大きくなるので、ダイナミックレンジを見積もる時は、読出しノイズだけを考えれば良いことになると思います。

Re: ダークノイズについて

> Tantos さん
私の書き込みでは、ダークノイズを暗電流としていました。文献によっても示す範囲が異なる単語なので、気を使って使うべきでした。

仕事で使っているカメラの仕様を確認しましたが、仰る通りノイズに関しては読み出しノイズが支配的でした。2時間以上の積算で、ようやく暗電流ノイズが読み出しノイズを上回る計算です。思い込みはダメですね。

Re: ダークノイズについて

hi-lowさん、
わざわざ調べてくださり、ありがとうございました。
名称の定義が紛らわしくてイヤですね。

imagerマニアさん、
業務用カメラとなると、数年前に発表されたsCMOSと呼ばれる製品群が凄い性能を持っています。
現状ではセンサーの種類は少ないですが、
飽和電子数は30000e-で、読み出しノイズがなんと1e-程度(!)です。
例えば独pco社が製品化しています。(他には浜松ホトニクスとか)
https://www.pco.de/scmos-cameras/pcoedge-42/
センサーはFairchild社製品ですが、ファウンダリはおそらくTSMCではないかと思います。(ファウンダリについては私の憶測です。)

Re:Re: ダークノイズについて

>Tantosさん

初めまして。imagerマニアです。

>業務用カメラとなると、数年前に発表されたsCMOSと呼ばれる製品群が凄い性能を持っています。
>飽和電子数は30000e-で、読み出しノイズがなんと1e-程度(!)です。

 凄い数字ですね、ノイズの方がΣ(゜д゜)!
正直本能的には信じれなくて、
もしも私が何かのカメラの設計の主担当者であれば、ひとまずサンプル一個買ってみて自分で評価してみないことには納得しなさそうです(^^;)

6.5um□で飽和電子数30000e-の方は凡庸というか特に驚きませんが、
読み出しノイズが1e-というのは、余程FD容量が小さいか、同じ信号データを複数回サンプリングしての平均化処理の結果とかじゃないと達成不能な数字なのでは?という気がします。

約400万画素で40fps出るみたいで、そんなに遅い読み出し速度でも無いので複数回サンプリングの平均化という線は薄そうに思いますし、TSMCとかだと最新の微細プロセスを用いればかなりなFD容量の低減が出来て達成可能な数字だったりするのでしょうか?
 それとも別の私の知らないウルトラCな方法が存在するのか?

いずれにしても、sCMOS知りませんでした。覚えておきます。
情報ありがとうございました。

http://www.pco.de/fileadmin/user_upload/pco-product_sheets/BR_pco_edge42_111_online.pdf
ちなみに↑に目を通してみたのですが、
 このカメラ、なんで電源電圧が12Vとか24Vとか必要なんでしょう?
消費電力がtypで10Wとかmax20Wとか、民生カメラは無論のこと、シネマやENGカメラの様な業務用カメラでもそんな数字はあり得ないと思うのですが・・・
もしかして、この辺に低ノイズ化の秘密もあったりするのでしょうか?

 あと上の資料で、ローリングシャッタの走査が方向変えたり、分割できたりと色んな走査方法が選択できるというのもおもしろいですね。
いったい使う側の人は、どういうことしたい人がこのモード変更の恩恵に預かるんでしょうか?

 いずれにしてもTantosさん、今後も出来れば何かとよろしくお願い致します。

  • imagerマニア
  • 2016/01/19(Tue.)

Re: Re:Re: ダークノイズについて

> imagerマニアさん
Scientific CMOS (sCMOS)の読み出しノイズについては、以下のURLに簡単な説明があります。
http://www.andor.com/learning-academy/read-noise-understanding-scmos-read-noise
「CDSが重要」程度の情報ですが…。
なお、AndorはFairchildと共にsCMOSの開発に関わったカメラメーカーです。
Tantosさんの方が情報をお持ちかもしれません。

sCMOS

>hi-lowさん
>Tantosさん

imagerマニアです。
お二方に返信したく、新たなコメント欄にしてしまいました。

http://www.scmos.com/files/low/scmos_white_paper_2mb.pdf

検索かけていたらこんなの↑を見つけました。
しかしまだ読めていません(^^;)

hi-lowさん紹介のページから、
http://www.andor.com/learning-academy/dual-amplifier-dynamic-range-scmos-dynamic-range
↑ハイダイナミックレンジを紹介しているこんなページも見つけました。
このページは読みました。
直接低ノイズ化については書かれていませんでしたが、
とにかくこのsCMOSセンサは、1列にひとつずつアンプとADを持っており、同じ画素信号をhighゲインとLowゲインで読み出して合成?するモードがあるというのはわかりました。

個人的にこの回路構成が気になり、というのも、弊blogで恐縮ですが、
http://imager.no-mania.com/Entry/131/ ←昨年のISSCCのソニー件

http://www.imagesensors.org/Past%20Workshops/2015%20Workshop/2015%20Papers/Sessions/Session_14/14-05_KitamuraLast.pdf
↑昨年のIISW NHKなど件

 上記双方とも、1列に複数のADを持っており、複数のランプ信号により1画素信号を複数回サンプリングによる平均化で低ノイズ化を図っているのですが、
sCMOSの回路もランプ信号配線をもう一本余計に通せば、上記方式を採用できるので、もしや?と気になりました。

 ちなみに前者のソニー件は、1.3e- (IMX252で2.3e-ですから、かなり低減していますね。しかしそれでもsCMOSには及びませんが)
 後者のNHKのは出力ノイズのまま書かれているので、電子数はわかりませんが、仮に8回サンプリングすると、14bitのAD分解能で1LSB以下となることになっています。

 ちなみに私が今まで見たことがある、最も低ノイズなものは
http://image-sensors-world.blogspot.jp/2015/11/027e-rms-read-noise-sensor-paper.html

↑これで、なんと0.27e-です。
が、何か凄い高電圧を用いるようですし、よく理解できません(^^;)
どのくらい実用的なのかも理解できませんでした・・・

 しかし、とにかく低ノイズ化というのは調べ始めると面白いですね。
これも近々の弊blogネタのひとつにさせてもらいたいと思います(^-^)

  • imagerマニア
  • 2016/01/23(Sat.)

Re: Re:Re:Re: ダークノイズについて

imagerマニアさん、hi-lowさん、
私もこんな低ノイズをどう実現しているのか分かりません。
少なくともhi-lowさんのおっしゃる通り、CDSは重要なのだと思います。
ただ、それ以外にも工夫してるようです。あまり参考になりませんが、浜ホトの一世代前のsCMOSの技術資料に、CDS以外にも工夫してる、とだけは書かれています。(以下のファイルの5ページ目です。)
http://www.hamamatsu.com/resources/pdf/sys/SCAS0070J_C11440-10C_tec.pdf
私自身はカメラを使う側の人間なので、これ以上内部の事は分からず、お役に立てそうにないです。

消費電力についてお尋ねされましたが、なぜ消費電力が高いか、という質問ですか?
その質問ならば、暗電流低減のためのペルチェ冷却を行っているから、が答えになるかと思います。
暗電流が気になるようなケースってそんなに多くないので(長時間露光の天体観測とか)、個人的には冷却は要らないから安くしてほしいと思ってしまいます。現状は安いのでも200万円くらいしますし。

Re:Re: Re:Re:Re: ダークノイズについて

>Tantosさん

※メインの返信コメントは、便宜上hi-lowさんの方の欄にさせていただきました。そちらも見ていただければと

>その質問ならば、暗電流低減のためのペルチェ冷却を行っているから、が答えになるかと思います。

 そういうことなんですね。
ありがとうございます。いくら科学用途(?)とはいえ、そんなに必要なものなのか?!と思ったもので(^^;)
冷却の電圧や消費電力の感覚はよくわかっていませんが、そのくらい必要なものなんですね。


>暗電流が気になるようなケースってそんなに多くないので(長時間露光の天体観測とか)、個人的には冷却は要らないから安くしてほしいと思ってしまいます。現状は安いのでも200万円くらいしますし。

 そのくらいのお値段になっちゃうものなんですね。

 やっぱ台数出なさそうなカメラですし、
スペックシートを信じれば、ノイズなどはかなり稀有というか唯一感が漂う感じなので、強気の値付け設定されちゃいそうですよね(^^;)
 ↑もし低ノイズがゆえの強気の値段設定だとすると、冷却機構外してもお値段かわらなかったりとか・・・(^^;)

  • imagerマニア
  • 2016/01/23(Sat.)

Re: Re:Re: Re:Re:Re: ダークノイズについて

長時間露光時の暗電流ノイズ対策だけでなく、画面均一性とインターバル撮影時のフレーム間安定性を確保するためにも、センサーの冷却は必要ですね。
仰る通り、カメラヘッドの価格はセンサー単価よりも販売台数が重要でしょう。また、高額なカメラはその後のサポートも手厚いので、その経費も価格に入っているでしょうね。

Re: Re: Re:Re: Re:Re:Re: ダークノイズについて

hi-lowさん、
情報ありがとうございます。
ここまで低ノイズになると暗電流以外でも冷却効果が出てくるレベルなんですね。
PCOカメラでは冷却能力の違う2種類(5℃、-30℃)のカメラがラインナップされていて、暗電流以外のスペックが同じ表示だったので、冷却効果はまだ大きくないのか(=冷却が効いてくるのはもっと低ノイズの場合か)と勝手に思っていました。たしかにhi-lowさんのおっしゃる通り、このレベルになれば冷却が必要になってもおかしくないと私も思います。

imagerマニアさん、
情報ありがとうございます。
image sensors worldの記事、出た当初に内容を読まなかったので、時間のあるときに読んでみようと思います。

低ノイズネタ、面白そうですね!
非公開技術も多いでしょうが新技術の紹介など期待しています。
さらなる貴blogの充実、楽しみにしています。

ブログ内検索

カウンター

最新コメント

[03/28 hoge]
[03/26 hi-low]
[03/22 山川]
[03/18 hoge]
[03/08 hi-low]
[03/04 hoge]
[02/26 山川]
[02/26 山川]
[02/19 hoge]
[02/18 山川]
[02/05 hoge]
[02/05 hi-low]
[01/29 通りすがりです]
[01/28 FT]
[01/23 hi-low]

カレンダー

12 2026/01 02
S M T W T F S
1 2 3
4 5 6 7 8 9 10
11 12 13 14 15 16 17
18 19 20 21 22 23 24
25 26 27 28 29 30 31

バーコード

プロフィール

HN:
imagerマニア
性別:
非公開